1822. Carboplatin

Nomenclature

CAS number: 41575-94-4
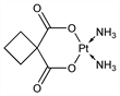
(SP-4-2)-Diammine[1,1-cyclobutanedi(carboxylato-κO)(2-)]platinum; 1,1-cyclobutanedicarboxylic acid platinum complex; cis-diammine(1,1-cyclobutanedicarboxylato)platinum(II); CBDCA; JM-8; NSC-241240; Carboplat (BMS); Paraplatin (BMS).
C6H12N2O4Pt; mol wt 371.25.
C 19.41%, H 3.26%, N 7.55%, O 17.24%, Pt 52.55%.

Description and references

Analog of cisplatin, q.v., with reduced nephrotoxicity. Prepn and antitumor activity: NL 7307863; M. J. Cleare et al., US 4140707 (1973, 1979 both to Research Corp.). Improved prepn: R. C. Harrison et al., Inorg. Chim. Acta 46, L15 (1980). Crystal structure: S. Neidle et al., J. Inorg. Biochem. 13, 205 (1980). Comparison with other antitumor platinum complexes: M. J. Cleare et al., Biochimie 60, 835 (1978). Early clinical studies: A. H. Calvert et al., Cancer Chemother. Pharmacol. 9, 140 (1982). Clinical pharmacokinetics: S. J. Harland et al., Cancer Res. 44, 1693 (1984); M. J. Egorin et al., ibid. 5432. Toxicity, activity in mice, rats, dogs: P. Lelieveld et al., Eur. J. Cancer Clin. Oncol. 20, 1087 (1984). Comparison with cisplatin chemotherapy in advanced seminoma: M. J. Peckham et al., Br. J. Cancer 52, 7 (1985). In treatment of small cell lung cancer: I. E. Smith et al., Cancer Treat. Rep. 69, 43 (1985); in metastatic breast cancer: E. A. Perez, Oncologist 9, 518 (2004). Clinical pharmacokinetics: S. B. Duffull, B. A. Robinson, Clin. Pharmacokinet. 33, 161 (1997). Review of veterinary studies: L. E. Fox, J. Am. Anim. Hosp. Assoc. 36, 13-14 (2000).

Chemical structure

Properties

White crystals, sol in water. LD50 in mice (mg/kg): 150 i.p., 140 i.v.; in rats (mg/kg): 85 i.v. (Lelieveld).

Therapeutic Category

Antineoplastic.

Therapeutic Category (Veterinary)

Antineoplastic.

Keywords

Antineoplastic; Platinum Complexes