1853. β-Carotene

Nomenclature

CAS number: 7235-40-7
β,β-Carotene; Carotaben (Hermal); Provatene (Microbio); Solatene (Roche).
C40H56; mol wt 536.87.
C 89.49%, H 10.51%.

Description and references

Most important of the provitamins A. Widely distributed in the plant and animal kingdom. In plants it occurs almost always together with chlorophyll. Isoln from carrots: Willst"atter, Escher, Z. Physiol. Chem. 64, 47 (1910); Kuhn, Lederer, Ber. 64, 1349 (1931); Barnett et al., US 2848508 (1958). Chromatography: Karrer, Walker, Helv. Chim. Acta 16, 641 (1933). Structure: Willst"atter, Mieg, Ann. 355, 1 (1907); Zechmeister et al., Ber. 61, 566 (1928); 66, 123 (1933); Karrer et al., Helv. Chim. Acta 12, 1142 (1929); 13, 1084 (1930); 14, 1033 (1931); Kuhn, Brockmann, Ber. 65, 894 (1932); 66, 1319 (1933); 67, 1408 (1934); Ann. 516, 95 (1935). Crystal structure: Sterling, Acta Crystallogr. 17, 1224 (1964). Synthesis: Milas et al., J. Am. Chem. Soc. 72, 4844 (1950); Karrer, Eugster, Compt. Rend. 250, 1920 (1950); Inhoffen et al., Chem. Ztg. 74, 285, 309 (1950); Surmatis, Ofner, J. Org. Chem. 26, 1171 (1961); Rüegg et al., Helv. Chim. Acta 44, 985 (1961); Bestmann et al., Ann. 1973, 760; Fischli, Mayer, Helv. Chim. Acta 58, 1584 (1975). Industrial mfg procedure: Isler et al., Helv. Chim. Acta 39, 249 (1956); Isler et al., US 2917539 (1959 to Hoffmann-La Roche). Microbial production by Choanephora trispora: Zajic, US 2959521; US 2959522 and US 3128236 (1960, 1960 and 1964, all to Grain Processing); Miescher, US 3001912 (1961 to C.S.C.). Review: Fleming, Selected Organic Syntheses (John Wiley, London, 1973) pp 70-74.

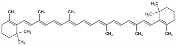
Chemical structure

Properties

Deep-purple, hexagonal prisms from benzene + methanol. Red, rhombic, almost square leaflets from petr ether. mp 183° (evacuated tube). Absorption max (chloroform): 497, 466 nm. Less sol than α-carotene. Sol in CS2, benzene, chloroform. Moderately sol in ether, petr ether, oils. 100 ml hexane dissolve 109 mg at 0°. Very sparingly sol in methanol and ethanol. Practically insol in water, acids, alkalies. Dil solns are yellow. Absorbs oxygen from the air giving rise to inactive, colorless oxidation products. Keep tightly closed and protected from light. Store at low temp (-20°C). Commercial crystalline β-carotene has a vitamin A activity of 1.67 million U.S.P. units per gram. The I.U. of 0.6 μg β-carotene is almost exactly equivalent to 0.3 μg vitamin A.

Use

Yellow coloring agent for foods.

Therapeutic Category

Vitamin A precursor. Ultraviolet screen.

Therapeutic Category (Veterinary)

Vitamin A precursor for all species except cats.

Keywords

Ultraviolet Screen; Vitamin/Vitamin Source; Vitamin A