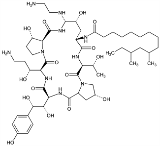
1889. Caspofungin

Nomenclature

CAS number: 162808-62-0
1-[(4R,5S)-5-[(2-Aminoethyl)amino]-N2-(10,12-dimethyl-1-oxotetradecyl)-4-hydroxy-l-ornithine]-5-[(3R)-3-hydroxy-l-ornithine]-pneumocandin B0.
C52H88N10O15; mol wt 1093.31.
C 57.13%, H 8.11%, N 12.81%, O 21.95%.

Description and references

Semisynthetic echinocandin antifungal that inhibits 1,3-β-d-glucan synthase which is required for cell wall synthesis. Prepn: J. M. Balkovec et al., WO 9421677; eidem, US 5378804 (1994, 1995 both to Merck & Co.). HPLC/MS determn in plasma: C. M. Chavez-Eng et al., J. Chromatogr. B 721, 229 (1999). Clinical study vs amphotericin B, q.v. in Candida esophagitis: A. Villanueva et al., Clin. Infect. Dis. 33, 1529 (2001). Review of pharmacology and clinical experience: A. Hoang, Am. J. Health Syst. Pharm. 58, 1206-1214 (2001); W. W. Hope et al., Expert Opin. Drug Metab. Toxicol. 3, 263-274 (2007).

Chemical structure

Derivative

Acetate.

Nomenclature

CAS number: 179463-17-3
MK-0991; Cancidas (Merck & Co.).
C52H88N10O15.2C2H4O2; mol wt 1213.42.
C 55.43%, H 7.97%, N 11.54%, O 25.05%.

Properties

Hygroscopic white to off-white powder. Freely sol in water, methanol; slightly sol in ethanol.

Therapeutic Category

Antifungal.

Keywords

Antifungal (Antibiotics); Echinocandins