1913. Cefadroxil

Nomenclature

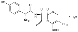
CAS number: 66592-87-8
(6R,7R)-7-[[(2R)-Amino-(4-hydroxyphenyl)acetyl]amino]-3-methyl-8-oxo-5-thia-1-azabicyclo[4.2.0]oct-2-ene-2-carboxylic acid monohydrate; 7-[d-(-)-α-amino-α-(4-hydroxyphenyl)acetamido]-3-methyl-3-cephem-4-carboxylic acid monohydrate; p-hydroxycephalexine monohydrate; BL-S578; MJF-11567-3; Baxan (BMS); Bidocef (BMS); Cefa-Drops (Fort Dodge); Cefamox (BMS); Ceforal (Farmoffer); Cephos (CT); Duracef (BMS); Duricef (BMS); Kefroxil (Torre); Oracéfal (BMS); Sedral (BMS); Ultracef (BMS).
C16H17N3O5S.H2O; mol wt 381.40.
C 50.39%, H 5.02%, N 11.02%, O 25.17%, S 8.41%.

Description and references

Semi-synthetic cephalosporin antibiotic. Prepn: NL 6812382; L. B. Crast, Jr., US 3489752 (1969, 1970 both to Bristol-Myers); T. Takahashi et al., DE 2216113; eidem, US 3816253 (1972, 1974, both to Takeda). Prepn of crystalline monohydrate: D. Bouzard et al., US 4504657 (1985 to Bristol-Myers). Antimicrobial activity: R. E. Buck, K. E. Price, Antimicrob. Agents Chemother. 11, 324 (1977). Pharmacology: M. Pfeffer et al., ibid. 331; A. I. Hartstein et al., ibid. 12, 93 (1977). Review: J. Antimicrob. Chemother. 10, Suppl. B, 1-162 (1982). Series of articles on clinical trials in respiratory tract infections: Drugs 32, Suppl. 3, 1-56 (1986).

Chemical structure

Properties

White crystals, mp 197° (dec).

Therapeutic Category

Antibacterial.

Therapeutic Category (Veterinary)

Antibacterial.

Keywords

Antibacterial (Antibiotics); β-Lactams; Cephalosporins