1924. Cefixime

Nomenclature

CAS number: 79350-37-1
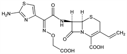
(6R,7R)-7-[[(2Z)-(2-Amino-4-thiazolyl)[(carboxymethoxy)imino]acetyl]amino]-3-ethenyl-8-oxo-5-thia-1-azabicyclo[4.2.0]oct-2-ene-2-carboxylic acid; 7-[2-(2-amino-4-thiazolyl)-2-(carboxymethoxyimino)acetamido]-3-vinyl-3-cephem-4-carboxylic acid; FK-027; FR-17027; CL-284635; Cefixoral (Menarini); Cefspan (Fujisawa); Cephoral (Merck KGaA); Oroken (Bellon); Suprax (Wyeth); Unixime (Firma).
C16H15N5O7S2; mol wt 453.45.
C 42.38%, H 3.33%, N 15.44%, O 24.70%, S 14.14%.

Description and references

Orally active, third generation cephalosporin antibiotic. Prepn: T. Takaya et al., EP 30630; eidem, US 4409214 (1981, 1983 both to Fujisawa); H. Yamanaka et al., J. Antibiot. 38, 1738 (1985). Synthesis and activity of (E)-isomer: K. Kawabata et al., Chem. Pharm. Bull. 34, 3458 (1986). Mechanism of action: Y. Shigi et al., J. Antibiot. 37, 790 (1984). Comparative antibacterial spectrum in vitro and in vivo: T. Kamimura et al., Antimicrob. Agents Chemother. 25, 98 (1984). In vitro activity and β-lactamase stability: H. C. Neu et al., ibid. 26, 174 (1984). HPLC determn in human plasma and urine: Y. Tokuma et al., J. Chromatogr. 311, 339 (1984). Pharmacokinetics in humans: D. R. P. Guay et al., Antimicrob. Agents Chemother. 30, 485 (1986). Clinical trial in urinary tract infections: J. Levenstein et al., S. Afr. Med. J. 70, 455 (1986); A. Irvani et al., Am. J. Med. 85, Suppl. 3A, 17 (1988); in respiratory infections: R. Kiani et al., ibid. 6.

Chemical structure

Derivative

(Z)-Form disodium salt.
C16H13N5Na2O7S2; mol wt 497.41.
C 38.63%, H 2.63%, N 14.08%, Na 9.24%, O 22.52%, S 12.89%.

Properties

mp >250°.

Derivative

(E)-Form trihydrate.

Properties

Pale yellow solid, mp 218-225° (dec).

Therapeutic Category

Antibacterial.

Keywords

Antibacterial (Antibiotics); β-Lactams; Cephalosporins