1927. Cefminox

Nomenclature

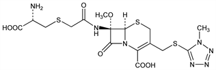
CAS number: 84305-41-9
(6R,7S)-7-[[[[(2S)-2-Amino-2-carboxyethyl]thio]acetyl]amino]-7-methoxy-3-[[(1-methyl-1H-tetrazol-5-yl)thio]methyl]-8-oxo-5-thia-1-azabicyclo[4.2.0]oct-2-ene-2-carboxylic acid; 7β-(2-d-amino-2-carboxyethylthioacetamido)-7α-methoxy-3-[[(1-methyl-1H-tetrazol-5-yl)thio]methyl]-3-cephem-4-carboxylic acid.
C16H21N7O7S3; mol wt 519.58.
C 36.99%, H 4.07%, N 18.87%, O 21.56%, S 18.51%.

Description and references

Semisynthetic broad spectrum cephamycin antibiotic. Prepn: BE 880656, K. Iwamatsu et al., US 4357331 (1980, 1982 both to Meiji Seika). Synthesis, biological activity: eidem, J. Antibiot. 36, 229 (1983). Structure-activity studies: S. Inouye et al., ibid. 37, 1403 (1984). Proposed mechanism of action: T. Tsuruoka et al., Eur. J. Biochem. 151, 209 (1985). In vitro, in vivo antibacterial activity compared with that of other cephalosporins: S. Inouye et al., Antimicrob. Agents Chemother. 26, 722 (1984). Activity against gram-negative infections in mice: T. Watanabe et al., Drugs Exp. Clin. Res. 10, 293 (1984). Toxicity studies: M. Kurebe et al., Jpn. J. Antibiot. 37, 847 (1984). Series of articles on pharmacokinetics, early clinical trials, treatment of urinary tract and respiratory infections: Chemotherapy (Tokyo) 32, Suppl. 5 (1984) 561 pp.

Chemical structure

Derivative

Sodium salt heptahydrate.

Nomenclature

MT-141; Meicelin (Meiji Seika).
C16H20N7NaO7S3.7H2O; mol wt 667.66.
C 28.78%, H 5.13%, N 14.69%, Na 3.44%, O 33.55%, S 14.41%.

Properties

Crystals from ethanol-water, mp 90-91°. LD50 in male, female mice (mg/kg): 6100, 5200 i.v.; in male, female rats (mg/kg): 6600, 5700 i.v.; 8600, 8550 i.p.; >15000, >15000 s.c. or orally (Kurebe).

Therapeutic Category

Antibacterial.

Keywords

Antibacterial (Antibiotics); β-Lactams; Cephamycins