1931. Ceforanide

Nomenclature

CAS number: 60925-61-3
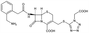
(6R,7R)-7-[[[2-(Aminomethyl)phenyl]acetyl]amino]-3-[[[1-(carboxymethyl)-1H-tetrazol-5-yl]thio]methyl]-8-oxo-5-thia-1-azabicyclo[4.2.0]oct-2-ene-2-carboxylic acid; (6R,7R)-7-[2-(α-amino-o-tolyl)acetamido]-3-[[[1-(carboxymethyl)-1H-tetrazol-5-yl]thio]methyl]-8-oxo-5-thia-1-azabicyclo[4.2.0]oct-2-ene-2-carboxylic acid; 7-[o-(aminomethyl)phenylacetamido]-3-[[[1-(carboxymethyl)-1H-tetrazol-5-yl]thio]methyl]-3-cephem-4-carboxylic acid; BL-S786.
C20H21N7O6S2; mol wt 519.55.
C 46.24%, H 4.07%, N 18.87%, O 18.48%, S 12.34%.

Description and references

Injectable, semi-synthetic cephalosporin antibiotic. Prepn: M. A. Kaplan et al., DE 2538804; W. J. Gottstein et al., US 4100346, US 4172196 and US 4182863 (1976, 1978, 1979, 1980 all to Bristol-Myers); W. J. Gottstein et al., J. Antibiot. 29, 1226 (1976). Laboratory evaluation: F. Leitner et al., Antimicrob. Agents Chemother. 10, 426 (1976). In vitro susceptibility comparisons: R. N. Jones et al., J. Antibiot. 30, 576, 583 (1977). Comparative tissue distribution: F. H. Lee et al., Antimicrob. Agents Chemother. 19, 625 (1981). Pharmacokinetics: E. H. Estey et al., Clin. Pharmacol. Ther. 30, 396 (1981); S. S. Hawkins et al., ibid. 468. Clinical study: R. J. Wallace et al., Antimicrob. Agents Chemother. 20, 648 (1981).

Chemical structure

Properties

White solid, mp >150° (dec).

Derivative

l-Lysine salt.

Nomenclature

CAS number: 63767-79-3
Precef (BMS).
C20H21N7O6S2.C6H14N2O2; mol wt 665.74.
C 46.91%, H 5.30%, N 18.94%, O 19.23%, S 9.63%.

Therapeutic Category

Antibacterial.

Keywords

Antibacterial (Antibiotics); β-Lactams; Cephalosporins