1932. Cefoselis

Nomenclature

CAS number: 122841-10-5
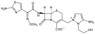
(6R,7R)-7-[[(2Z)-(2-Amino-4-thiazolyl)(methoxyimino)acetyl]amino]-3-[[2,3-dihydro-2-(2-hydroxyethyl)-3-imino-1H-pyrazol-1-yl]methyl]-8-oxo-5-thia-1-azabicyclo[4.2.0]oct-2-ene-2-carboxylic acid; (syn)-7β-[2-(2-aminothiazol-4-yl)-2-methoxyiminoacetamido]-3-[3-amino-2-(2-hydroxyethyl)-1-pyrazolio]methyl-3-cephem-4-carboxylate; (-)-5-amino-2-[[(6R,7R)-7-[2-(2-amino-4-thiazolyl)glyoxylamido]-2-carboxy-8-oxo-5-thia-1-azabicyclo[4.2.0]oct-2-en-3-yl]methyl]-1-(2-hydroxyethyl)pyrazolium hydroxide inner salt 72-(Z)-(O-methyloxime).
C19H22N8O6S2; mol wt 522.56.
C 43.67%, H 4.24%, N 21.44%, O 18.37%, S 12.27%.

Description and references

Fourth generation cephalosporin antibiotic. Prepn: K. Sakane et al., EP 307804; eidem, US 4952578 (1989, 1990 both to Fujisawa); H. Ohki et al., J. Antibiot. 46, 359 (1993). In vitro activity and β-lactamase stability: H. C. Neu et al., Antimicrob. Agents Chemother. 37, 566 (1993). Clinical pharmacokinetics: R. Wise et al., ibid. 38, 2369 (1994). Series of articles on activity, clinical pharmacology and therapeutic efficacy: Chemotherapy (Tokyo) 42, Suppl. 3, 1-464 (1994).

Chemical structure

Derivative

Sulfate.

Nomenclature

CAS number: 122841-12-7
FK-037; Wincef (Fujisawa).
C19H22N8O6S2.H2SO4; mol wt 620.64.
C 36.77%, H 3.90%, N 18.05%, O 25.78%, S 15.50%.

Therapeutic Category

Antibacterial.

Keywords

Antibacterial (Antibiotics); β-Lactams; Cephalosporins