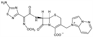
1937. Cefozopran

Nomenclature

CAS number: 113359-04-9
1-[[(6R,7R)-7-[[(2Z)-(5-Amino-1,2,4-thiadiazol-3-yl)(methoxyimino)acetyl]amino]-2-carboxy-8-oxo-5-thia-1-azabicyclo[4.2.0]oct-2-en-3-yl]methyl]imidazo[1,2-b]pyridazinium inner salt; 7β-[2-(5-amino-1,2,4-thiadiazol-3-yl)-2(Z)-methoxyiminoacetamido]-3-[(imidazo[1,2-b]pyridazinium-1-yl)methyl]-3-cephem-4-carboxylate.
C19H17N9O5S2; mol wt 515.53.
C 44.27%, H 3.32%, N 24.45%, O 15.52%, S 12.44%.

Description and references

Prepn: A. Miyake et al., WO 8605183; eidem, US 4864022 (1986, 1989 both to Takeda); A. Miyake et al., J. Antibiot. 45, 709 (1992). Antibacterial spectrum: T. Iwahi et al., Antimicrob. Agents Chemother. 36, 1358 (1992). In vivo activity: Y. Iizawa et al., ibid. 37, 100 (1993). Pharmacokinetics: W. Paulfeuerborn et al., ibid. 1835. HPLC determn in serum and urine: K. Borner, E. Borner, J. Chromatogr. 615, 174 (1993).

Chemical structure

Derivative

Hydrochloride.

Nomenclature

SCE-2787; Firstcin (Takeda).
C19H17N9O5S2.HCl; mol wt 551.99.
C 41.34%, H 3.29%, N 22.84%, O 14.49%, S 11.62%, Cl 6.42%.

Therapeutic Category

Antibacterial.

Keywords

Antibacterial (Antibiotics); β-Lactams; Cephalosporins