1946. Ceftazidime

Nomenclature

CAS number: 72558-82-8
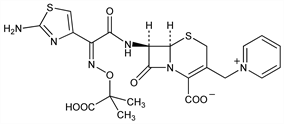
1-[[(6R,7R)-7-[[(2Z)-(2-Amino-4-thiazolyl)[(1-carboxy-1-methylethoxy)imino]acetyl]amino]-2-carboxy-8-oxo-5-thia-1-azabicyclo[4.2.0]oct-2-en-3-yl]methyl]pyridinium inner salt; 1-[[(6R,7R)-7-[2-(2-amino-4-thiazolyl)glyoxylamido]-2-carboxy-8-oxo-5-thia-1-azabicyclo[4.2.0]oct-2-en-3-yl]methyl]pyridinium hydroxide inner salt 72-(Z)-[O-(1-carboxy-1-methylethyl)oxime]; GR-20263.
C22H22N6O7S2; mol wt 546.58.
C 48.34%, H 4.06%, N 15.38%, O 20.49%, S 11.73%.

Description and references

Third generation cephalosporin antibiotic. Prepn: C. H. O'Callaghan et al., DE 2921316; eidem, US 4258041 (1979, 1981 both to Glaxo). Prepn of crystalline pentahydrate: A. Brodie, L. A. Wetherill, DE 3037102; eidem, US 4329453 (1981, 1982 both to Glaxo). Chemical and antibacterial properties: eidem, Antimicrob. Agents Chemother. 17, 876 (1980). Activity vs Pseudomonas and Enterobacteriaceae: L. Verbist, J. Verhaegen, ibid. 807. In vitro comparison with other β-lactams: R. Wise et al., ibid. 884; L. Verbist, ibid. 19, 407 (1981). Symposium on clinical studies: J. Antimicrob. Chemother. 12, Suppl. A, 1-414 (1983). Comprehensive description: M. A. Abounassif et al., Anal. Profiles Drug Subs. 19, 95-121 (1990). Review of antibacterial activity, pharmacokinetics and therapeutic use: C. P. Rains et al., Drugs 49, 577-617 (1995).

Chemical structure

Derivative

Pentahydrate.

Nomenclature

CAS number: 78439-06-2
Fortam (GSK); Fortaz (GSK); Fortum (GSK); Fortumset (GSK); Glazidim (GSK); Modacin (GSK); Panzid (Valda); Spectrum (Sigma-Tau); Starcef (Firma); Tazidime (Lilly).
C22H22N6O7S2.5H2O; mol wt 636.65.
C 41.50%, H 5.07%, N 13.20%, O 30.16%, S 10.07%.

Properties

Crystalline solid. uv max (pH 6): 257 nm (E1%1cm 348). Sol in alkali, DMSO; slightly sol in DMF, methanol, water. Insol in acetone, alcohol, chloroform, dioxane, ether, ethyl acetate, toluene.

Therapeutic Category

Antibacterial.

Therapeutic Category (Veterinary)

Antibacterial, esp in reptiles.

Keywords

Antibacterial (Antibiotics); β-Lactams; Cephalosporins