1948. Ceftezole

Nomenclature

CAS number: 26973-24-0
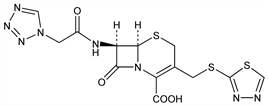
(6R,7R)-8-Oxo-7-[(1H-tetrazol-1-ylacetyl)amino]-3-[(1,3,4-thiadiazol-2-ylthio)methyl]-5-thia-1-azabicyclo[4.2.0]oct-2-ene-2-carboxylic acid; 7-(1H-tetrazol-1-yl)acetamido-3-(1,3,4-thiadiazol-2-ylthio)methylceph-3-em-4-carboxylic acid; CTZ; CG-B3Q.
C13H12N8O4S3; mol wt 440.48.
C 35.45%, H 2.75%, N 25.44%, O 14.53%, S 21.84%.

Description and references

Broad spectrum antibiotic similar to cefazolin, q.v. Prepn: T. Takano et al., ZA 6804513; eidem, US 3516997 (1969, 1970 both to Fujisawa). In vitro and in vivo activity: T. Noto et al., J. Antibiot. 29, 1058 (1976). Pharmacology: Y. Harada et al., ibid. 1071; M. Kakimoto et al., Chemotherapy (Tokyo) 24, 722 (1976). Metabolism: K. Koyama et al., ibid. 619; Y. Tohira et al., ibid. 655. Clinical study: S. Ishiyama et al., ibid. 1006. Toxicity and teratogenicity studies: R. Niki et al., ibid. 671.

Chemical structure

Properties

Solid, mp 155° (dec). uv max (phosphate buffer pH 6.4): 273 nm (E1%1cm 274).

Derivative

Sodium salt.

Nomenclature

CAS number: 41136-22-5
FR-10123; Celoslin (Hoechst); Falomesin (Chugai).
C13H11N8NaO4S3; mol wt 462.46.
C 33.76%, H 2.40%, N 24.23%, Na 4.97%, O 13.84%, S 20.80%.

Properties

White solid, freely sol in water.

Therapeutic Category

Antibacterial.

Keywords

Antibacterial (Antibiotics); β-Lactams; Cephalosporins