1961. Cellobiose

Nomenclature

CAS number: 528-50-7
4-O-β-d-Glucopyranosyl-d-glucose; β-cellobiose; cellose; 4-(β-d-glucosido)-d-glucose.
C12H22O11; mol wt 342.30.
C 42.11%, H 6.48%, O 51.41%.

Description and references

Unit of cellulose and lichenin. Does not occur free in nature, or as glucoside. Prepn from cotton: Braun, Org. Synth. coll. vol. II, 122, 124 (1943). Prepn from cell-free enzymatic hydrolyzate of cellulose: Whistler, Smart, J. Am. Chem. Soc. 75, 1916 (1953). Structure: Haworth, Hirst, J. Chem. Soc. 119, 193 (1923); Charlton et al., ibid. 1926, 89; Zemplén, Ber. 59, 1254 (1926); Haworth et al., J. Chem. Soc. 1927, 2809; Peterson, Spencer, J. Am. Chem. Soc. 49, 2822 (1927); Helferich et al., Ber. 63, 992 (1930); Hess, Dziengel, ibid. 68, 1594 (1935); Hassid, Ballou in The Carbohydrates, W. Pigman, Ed. (Academic Press, New York, 1957) p 490. Synthesis: Haskins et al., J. Am. Chem. Soc. 64, 1289 (1942). Review: Pazur in The Carbohydrates vol. 2A, W. Pigman et al., Eds. (Academic Press, New York, 2nd ed., 1970) pp 109-110; R. G. Edwards, Dev. Food Carbohydr. 2, 229-273 (1980).

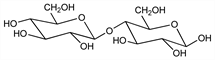
Chemical structure

Properties

Minute crystals from dil alcohol which retain 0.25 to 0.50 mol water after drying in vacuo. Indifferent taste. Dec 225°. Shows mutarotation. [α]D20 +14.2° → +34.6° (15 hrs, c = 8). One gram dissolves in 8 ml water, in 1.5 ml boiling water. Almost insol in abs alc and ether. Reduces Fehling's soln. Hydrolysis with acid or emulsin yields 2 mols β-d-glucose. Not fermented by brewers' yeast, maltase, or invertase.

Derivative

Octaacetyl-aldehydro-cellobiose.
C28H38O19; mol wt 678.59.
C 49.56%, H 5.64%, O 44.80%.

Properties

mp 105-110°. [α]D20 +17.7° (c = 3 in chloroform).

Derivative

Octaacetyl-α-cellobiose.
C28H38O19; mol wt 678.59.
C 49.56%, H 5.64%, O 44.80%.

Properties

mp 229°. [α]D20 +41° (c = 6 in chloroform).

Derivative

Octaacetyl-β-cellobiose.

Properties

mp 202°. [α]D20 -14.7° (c = 5 in chloroform).