1967. Cellulose Ethyl Hydroxyethyl Ether

Nomenclature

CAS number: 9004-58-4
Ethyl 2-hydroxyethyl ether cellulose; ethyl hydroxyethyl cellulose; Etulos.

Description and references

Prepn: Jullander, C.A. 48, 6114g (1954); idem, DE 1000367 (1957 to Mo och Domsj"o Ab.), C.A. 54, 5088f (1960). Use as laxative: Alm, C.A. 50, 2122i (1956); idem, Am. J. Dig. Dis. 2, 493 (1957).

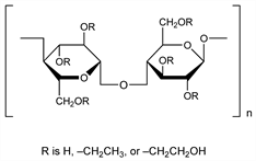
Chemical structure

Therapeutic Category

Cathartic.

Keywords

Laxative/Cathartic