1980. Cephalosporin C

Nomenclature

CAS number: 61-24-5
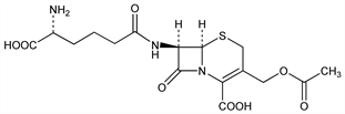
(6R,7R)-3-[(Acetyloxy)methyl]-7-[[(5R)-5-amino-5-carboxy-1-oxopentyl]amino]-8-oxo-5-thia-1-azabicyclo[4.2.0]oct-2-ene-2-carboxylic acid; 7-(d-5-amino-5-carboxyvaleramido)-3-(hydroxymethyl)-8-oxo-5-thia-1-azabicyclo[4.2.0]oct-2-ene-2-carboxylic acid acetate.
C16H21N3O8S; mol wt 415.42.
C 46.26%, H 5.10%, N 10.12%, O 30.81%, S 7.72%.

Description and references

Antibiotic substance produced along with penicillin N by a Cephalosporium sp. cultivated from sea water near a sewage outlet on the coast of Sardinia: G. Brotzu, Lav. Ist. Igiene Cagliari (1948); Newton, Abraham, Nature 175, 548 (1955); eidem, Biochem. J. 62, 651 (1956); eidem, DE 1014711 (1957 to Natl. Res. Dev. Corp.); GB 810196 (1959); Kelly et al., US 3082155 (1963 to Natl. Res. Dev. Corp.); Demain, US 3116216; US 3116217 (both 1963 to Merck & Co.). Biosynthesis: Demain, Newkirk, Appl. Microbiol. 10, 321 (1962). Has the same side chain as penicillin N, but the nucleus is different and is named 7-aminocephalosporanic acid: Jago, Heatley, Br. J. Pharmacol. 16, 170 (1961). Structure: Abraham, Newton, Biochem. J. 79, 377 (1961); Hodgkin, Maslen, ibid. 393. In cephalosporin CA the acetoxy group is replaced by a pyridinium group: Hale et al., ibid. 403. Transformation to cephalosporin CC for which greater activity is claimed: Abraham et al., US 3049541 (1962 to Natl. Res. Dev. Corp.). Total synthesis: Woodward et al., J. Am. Chem. Soc. 88, 852 (1966). Review of cephalosporin C and related compounds: Abraham, Q. Rev. Chem. Soc. 21, 231 (1967); Abraham, Loder, in Cephalosporins and Penicillins, E. H. Flynn, Ed. (Academic Press, New York, 1972) pp 1-26.

Chemical structure

Derivative

Sodium salt, dihydrate.
C16H20N3NaO8S.2H2O; mol wt 473.43.
C 40.59%, H 5.11%, N 8.88%, Na 4.86%, O 33.79%, S 6.77%.

Properties

Monoclinic crystals from dil alc. [α]D20 +103° (H2O). uv max: 260 nm (E1%1cm 200). pKa values: <2.6, 3.1, 9.8. Sol in water. Practically insol in ethanol, ether. Aq solns are stable at pH 2.5 to 8. Low toxicity. Shows in vitro activity against penicillin-resistant staphylococci.

Therapeutic Category

Antibacterial.

Keywords

Antibacterial (Antibiotics); β-Lactams; Cephalosporins