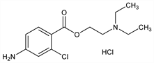
2158. Chloroprocaine Hydrochloride

Nomenclature

CAS number: 3858-89-7
4-Amino-2-chlorobenzoic acid 2-(diethylamino)ethyl ester monohydrochloride; 2-chloro-4-aminobenzoic acid diethylaminoethyl ester hydrochloride; Nesacaine (Astra).
C13H20Cl2N2O2; mol wt 307.22.
C 50.82%, H 6.56%, Cl 23.08%, N 9.12%, O 10.42%.

Description and references

Description: H"adicke, Pharm. Zentralhalle 94, 384 (1955).

Chemical structure

Properties

Crystals, mp 176-178° (microstage). Bitter taste. Slowly sol in water. Soly in water at 20° about one gram in 22 ml. Aq solns are just acid to litmus and turn yellow on standing. Soly in 95% ethanol about one gram in 100 ml.

Therapeutic Category

Anesthetic (local).

Keywords

Anesthetic (Local)