2292. Cinerins

Description and references

Active insecticidal constiutents of pyrethrum flowers. Isoln: Ward, Chem. Ind. (London) 1953, 586; Stephenson, Pyrethrum Post 5, no. 4, 22 (1960); C.A. 55, 13753g (1961). Structure: Schechter et al., J. Am. Chem. Soc. 71, 3165 (1949); Godin et al., J. Chem. Soc. C 1966, 332. Stereochemistry: Begley et al., Chem. Commun. 1972, 1276. Review: Crombie, Elliott, Fortschr. Chem. Org. Naturst. 19, 120-164 (1961). Review of toxicology and human exposure: Toxicological Profile for Pyrethrins and Pyrethroids (PB2004-100004, 2003) 332 pp.

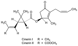
Chemical structure

Derivative

Cinerin I.

Nomenclature

CAS number: 25402-06-6
(1R,3R)-2,2-Dimethyl-3-(2-methyl-1-propenyl)cyclopropanecarboxylic acid (1S)-3-(2Z)-(2-butenyl)-2-methyl-4-oxo-2-cyclopenten-1-yl-ester.
C20H28O3; mol wt 316.43.
C 75.91%, H 8.92%, O 15.17%.

Properties

Viscous liquid. Oxidizes rapidly and becomes inactive in presence of air. bp0.008 136-138°. nD20 1.5064. [α]D20 -22° (hexane). uv max: 222 nm (ε 21400). Practically insol in water. Sol in alcohol, petr ether, kerosene, carbon tetrachloride, ethylene dichloride, nitromethane.

Derivative

Cinerin II.

Nomenclature

CAS number: 121-20-0
(1R,3R)-3-[(1E)-3-Methoxy-2-methyl-3-oxo-1-propenyl]-2,2-dimethylcyclopropanecarboxylic acid (1S)-3-(2Z)-(2-butenyl)-2-methyl-4-oxo-2-cyclopenten-1-yl ester.
C21H28O5; mol wt 360.44.
C 69.98%, H 7.83%, O 22.19%.

Properties

Viscous liquid. Oxidizes rapidly and becomes inactive in presence of air. bp0.001 182-184°. nD20 1.5183. [α]D16 +16° (isooctane). uv max: 229 nm (ε 28700). Practically insol in water. Sol in alcohol, petr ether (less sol than Cinerin I), kerosene, carbon tetrachoride, ethylene dichloride, nitromethane.

Caution

Direct skin contact and inhalation may cause allergic attacks in sensitive people. Potential symptoms of overexposure are severe dermatitis, asthma, vasomotor rhinitis, anaphylactic reactions; numbness of lips and tongue, sneezing, vomiting, diarrhea; headache, restlessness, tinnitis, incoordination, clonic convulsions, stupor, prostration; death due to respiratory paralysis. See: Clinical Toxicology of Commercial Products, R. E. Gosselin et al., Eds. (Williams & Wilkins, Baltimore, 5th ed., 1984) Section III, pp 352-355.

Use

Insecticide.