2466. Coenzyme A

Nomenclature

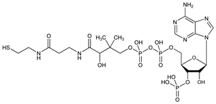
CAS number: 85-61-0
CoA.
C21H36N7O16P3S; mol wt 767.53.
C 32.86%, H 4.73%, N 12.77%, O 33.35%, P 12.11%, S 4.18%.

Description and references

An essential cofactor in enzymatic acetyl transfer reactions. Synthesized in cells from pantothenate, ATP and cysteine. Found ubiquitously in mammalian cells. Isoln from animal sources: Lipmann et al., J. Biol. Chem. 167, 869 (1947); 186, 235 (1950). Many microorganisms contain large amounts of the coenzyme. Isoln from Streptomyces fradiae: Kaplan, Lipmann, ibid. 174, 37 (1948). Purifications: De Vries et al., J. Am. Chem. Soc. 72, 4838 (1950); Gregory et al., ibid. 74, 854 (1952). Structure: Baddiley et al., Nature 171, 76 (1953). Total synthesis: Moffatt, Khorana, J. Am. Chem. Soc. 81, 1265 (1959); 83, 663 (1961); Shimizu et al., Chem. Pharm. Bull. 13, 1142 (1965). Reviews: Lipmann, Bacteriol. Rev. 17, 1-16 (1953); Baddiley, Adv. Enzymol. 16, 1 (1955); Jaenicke, Lynen in The Enzymes vol. 3, P. D. Boyer et al., Eds. (Academic Press, New York, 2nd ed., 1960) pp 3-103. Review of metabolism: J. D. Robishaw, J. R. Neely, Am. J. Physiol. 248, E1-E9 (1985); of clinical evaluations in hyperlipoproteinemia: A. Perin, G. Fraticelli, Int. J. Tissue React. 13, 111-114 (1991); of biochemical role in cellular toxicity: E. P. Brass, Chem. Biol. Interact. 90, 203-214 (1994).

Chemical structure

Properties

White powder; characteristic thiol odor. May be dried in vacuo over phosphorus pentoxide at 34°. uv max: 259.5 nm (ε 16800). Fairly strong acid. pK 9.6 (thiol); pK 6.4 (secondary phosphate); pK 4.0 (adenine NH3+). Soluble in water. Practically insol in ethanol, ether, acetone. Pure dry coenzyme is best stored in evacuated ampuls at room temp. Readily oxidized by air to the catalytically inactive disulfide.