2474. Colestilan

Nomenclature

CAS number: 95522-45-5
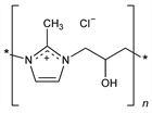
2-Methyl-1H-imidazole polymer with (chloromethyl)oxirane; 2-methylimidazole polymer with 1-chloro-2,3-epoxypropane; colestimide; MCI-196; Cholebine (Mitsubishi).
(C4H6N2.C3H5ClO)n.

Description and references

Bile acid sequestering anion exchange resin. Prepn: H. Toda, K. Kihara, JP Kokai 59138228 (1984 to Mitsubishi Petrochem.); and bile acid binding activity: H. Toda et al., J. Pharm. Sci. 77, 531 (1988). Series of articles on pharmacology and toxicology: Jpn. Pharmacol. Ther. 24, Suppl. 4, 1-181 (1996). Clinical evaluation in type II hyperlipoproteinemia: Y. Homma et al., Nutr. Metab. Cardiovasc. Dis. 6, 211 (1996); in hyperphosphatemia: S. Kurihara et al., Nephrol. Dial. Transplant. 20, 424 (2005).

Chemical structure

Properties

Odorless, tasteless, white powder. Ion exchange capacity: 4.9 mEq/g. Particle size: 44-149 μm.

Therapeutic Category

Antilipemic.

Keywords

Antilipemic; Bile Acid Sequesterants; Ion-exchange Resin