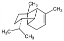
2515. Copaene

Nomenclature

CAS number: 3856-25-5
[1R-(1α,2α,6α,7α,8α)]-1,3-Dimethyl-8-(1-methylethyl)tricyclo[4.4.0.02,7]dec-3-ene; (1R,2S,6S,7S,8S)-(-)-8-isopropyl-1,3-dimethyltricyclo[4.4.0.02,7]dec-3-ene; α-copaene.
C15H24; mol wt 204.35.
C 88.16%, H 11.84%.

Description and references

Tricyclic sesquiterpene occurring in African copaiba balsam oil; in the so-called supa oil from Sindora supa Merr. (S. wallichii F.-Vill.), Leguminosae: Henderson et al., J. Chem. Soc. 1926, 3077. Also in the essential oil of Phyllocladus trichomanoides D. Don, Podocarpaceae: Briggs, Sutherland, J. Org. Chem. 13, 1 (1948); from Cyperus articulatus Michx., Cyperaceae: Couchman et al., Tetrahedron 20, 2037 (1964). Structural studies: Kapadia et al., ibid. 21, 607 (1965). Absolute stereostructure: deMao et al., ibid. 619. Synthesis: Heathcock, J. Am. Chem. Soc. 88, 4110 (1966); Heathcock et al., ibid. 89, 4133 (1967); Corey, Watt, ibid. 95, 2303 (1973). Review: J. Simonsen, D. H. R. Barton, The Terpenes vol. III (University Press, Cambridge, 1952) pp 88-91. See also Ylangene.

Chemical structure

Properties

Oily liquid, bp 246-251°; bp10 119-120°; d1515 0.9077; nD20 1.4894. [α]D22 -6.3° (c = 1.20 in chloroform).