2528. Cord Factor(s)

Nomenclature

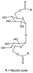
CAS number: 61512-20-7
Trehalose 6,6′-dimycolate; 6,6′-di-O-mycolyl-α,α-trehalose; (6-O-mycolyl-α-d-glucopyranosyl)-6-O-mycolyl-α-d-glucopyranoside.

Description and references

Naturally occurring 6,6′-diesters of trehalose and mycolic acids, β-hydroxy α-branched long chain acids produced by Mycobacteria, Nocardia, and Corynebacteria. 3 major classes identified which are based on the size of the acid and the producing strain: corynomycolic acids (C32), nocardomycolic acids (C48-C60); mycobacteria mycolic acids (C60-C90). The formation of “cords” by tubercule bacilli was first described in 1884 by R. Koch. Isolation of the factor from Mycobacterium tuberculosis: H. Bloch, J. Exp. Med. 91, 197 (1950). Structure: J. Asselineau, E. Lederer, Biochim. Biophys. Acta 17, 161 (1955). Synthesis: J. Polonsky et al., Carbohydr. Res. 65, 295 (1978); Y. Gama, Yakugaku 44, 671 (1995). Antitumor activity: A. Bekierkunst et al., Science 174, 1240 (1971); M. V. Pimm et al., Int. J. Cancer 24, 780 (1979). Molecular packing and surface properties: R. Almog, C. A. Mannella, Biophys. J. 71, 3311 (1996). Use as antigen in serodiagnosis of Mycobacterium avium-intracellulare complex: K. Enomoto et al., Microbiol. Immunol. 42, 689 (1998); in tuberculosis: J. Pan et al., ibid. 43, 863 (1999). Review of early literature: E. Lederer, Springer Semin. Immunopathol. 2, 133-148 (1979). Review of classes of cord factors and their chemistry: idem, Microbiol. Ser. 15, 361-378 (1984).

Chemical structure