2789. Cytisine

Nomenclature

CAS number: 485-35-8
(1R)-1,2,3,4,5,6-Hexahydro-1,5-methano-8H-pyrido-[1,2-a][1,5]diazocin-8-one; baptitoxine; sophorine; ulexine; Cytiton (USSR).
C11H14N2O; mol wt 190.24.
C 69.45%, H 7.42%, N 14.73%, O 8.41%.

Description and references

Toxic principle in seed of Laburnum anagyroides Medik. and other Leguminosae. Extraction: Ing, J. Chem. Soc. 1931, 2200; Sp"ath, Galinovsky, Ber. 65, 1526 (1932); 66, 1338 (1933); Lecoq, Bull. Soc. Chim. Fr. 10, 153 (1943). Structure: Ing, J. Chem. Soc. 1932, 2778. Synthesis: Bohlmann et al., Angew. Chem. 67, 708 (1955); Van Tamelen, Baran, J. Am. Chem. Soc. 77, 4944 (1955). Absolute configuration: Okuda et al., Chem. Ind. (London) 1961, 1751. Pharmacological properties: R. B. Barlow, L. J. McLeod, Br. J. Pharmacol. 35, 161 (1969).

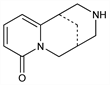
Chemical structure

Properties

Orthorhombic prisms from acetone, mp 152-153°. Sublimes. bp2 218°. [α]D17 -120°. pK1 6.11; pK2 13.08. Sol in 1.3 parts water, 13 parts acetone, 1.3 parts methanol, 3.5 parts alcohol, 30 parts benzene, 10 parts ethyl acetate, 2.0 parts chloroform. Practically insol in petr ether. LD50 in mice (mg/kg): 1.73 i.v.; 9.4 i.p.; 101 orally (Barlow, McLeod).

Derivative

Hydrochloride.
C11H14N2O.HCl; mol wt 226.70.
C 58.28%, H 6.67%, N 12.36%, O 7.06%, Cl 15.64%.

Properties

Deliquescent crystals, sol in water and alcohol. pH of 0.1 molar aq soln 4.3.

Derivative

Nitrate monohydrate.
C11H14N2O.HNO3.H2O; mol wt 271.27.
C 48.70%, H 6.32%, N 15.49%, O 29.49%.

Properties

Needles or leaflets, [α]D -81.5°. Sol in water, slightly sol in alcohol. Practically insol in ether.