2881. Delphinine

Nomenclature

CAS number: 561-07-9
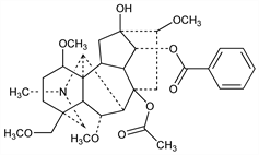
(1α,6α,14α,16β)-1,6,16-Trimethoxy-4-(methoxymethyl)-20-methylaconitane-8,13,14-triol 8-acetate 14-benzoate.
C33H45NO9; mol wt 599.71.
C 66.09%, H 7.56%, N 2.34%, O 24.01%.

Description and references

A toxic alkaloid from seeds of Delphinium staphisagria L., Ranunculaceae. Isoln: Markwood, J. Am. Pharm. Assoc. 16, 928 (1927). Purification: Schneider, Arch. Pharm. 283, 283 (1950). Structure: Jacobs, Pelletier, J. Am. Chem. Soc. 78, 3542 (1956); Wiesner et al., Can. J. Chem. 47, 2734 (1969). Configuration: Wiesner et al., Tetrahedron Lett. 1959, no. 3, 12; 1960, no. 15, 23; Gilman, Marion, ibid. 1962, 923; Birnbaum et al., ibid. 1971, 867. Synthesis: Wiesner et al., Can. J. Chem. 50, 1925 (1972).

Chemical structure

Properties

Orthorhombic, six-sided plates from alc, mp 197.5-199°. [α]D20 +25° (ethanol). Practically insol in water. Sol in 25 parts alcohol, 20 parts chloroform, 10 parts ether.

Derivative

Hydrochloride.
C33H45NO9.HCl; mol wt 636.17.
C 62.30%, H 7.29%, N 2.20%, O 22.63%, Cl 5.57%.

Properties

Crystals, dec 214°.