2883. Deltamethrin

Nomenclature

CAS number: 52918-63-5
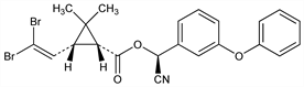
(1R,3R)-3-(2,2-Dibromoethenyl)-2,2-dimethylcyclopropanecarboxylic acid (S)-cyano(3-phenoxyphenyl)methyl ester; (S)-α-cyano-3-phenoxybenzyl-(1R)-cis-3-(2,2-dibromovinyl)-2,2-dimethylcyclopropane carboxylate; decamethrin; esbecythrin; FMC-45498; NRDC-161; RU-22974; Butox (Intervet); Decis (Bayer CropSci.); K-Othrine (Bayer CropSci.); Scalibor (Intervet).
C22H19Br2NO3; mol wt 505.20.
C 52.30%, H 3.79%, Br 31.63%, N 2.77%, O 9.50%.

Description and references

Synthetic pyrethroid insecticide. Prepn of racemic mixture: M. Elliot et al., DE 2439177 (1975 to NRDC), C.A. 83, 73519z (1975); of decamethrin and isomers: eidem, Pestic. Sci. 9, 105 (1978). Activity: eidem, Nature 248, 710 (1974); eidem, Pestic. Sci. 9, 112 (1978). Absolute configuration: J. D. Owen, J. Chem. Soc. Perkin Trans. 1 1975, 1865. Photochemistry: L. O. Ruzo et al., J. Agric. Food Chem. 25, 1385 (1977). Metabolism: eidem, ibid. 26, 918 (1978). Toxicology: R. Kavlock et al., J. Environ. Pathol. Toxicol. 2, 751 (1979). Pharmacological effects on central nervous system: P. H. Chanh et al., Arzneim.-Forsch. 34, 175 (1984). Review of toxicology and human exposure: Toxicological Profile for Pyrethrins and Pyrethroids (PB2004-100004, 2003) 332 pp.

Chemical structure

Properties

Crystals, mp 98-101°. Sol in ethanol, acetone, dioxane. Insol in water. LD50 in female rats (mg/kg): 31 orally; 4 i.v. (Kavlock).

Use

Insecticide.

Therapeutic Category (Veterinary)

Ectoparasiticide.