2896. Denufosol

Nomenclature

CAS number: 211448-85-0
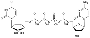
Uridine 5′-(pentahydrogen tetraphosphate) P'''→5′-ester with 2′-deoxycytidine; P1-(uridine 5′)-P4-(2′-deoxycytidine 5′)tetraphosphate; UP4dC.
C18H27N5O21P4; mol wt 773.32.
C 27.96%, H 3.52%, N 9.06%, O 43.45%, P 16.02%.

Description and references

Nucleotide P2Y2 purinoceptor agonist. Prepn: W. Pendergast et al., WO 9834942; eidem, US 6348589 (1998, 2002 both to Inspire); and structure-activity study: S. R. Shaver et al., Purinergic Signalling 1, 183 (2005). Pharmacology: B. R. Yerxa et al., J. Pharmacol. Exp. Ther. 302, 871 (2002). Clinical evaluation in cystic fibrosis: R. Deterding et al., Pediatr. Pulmonol. 39, 339 (2005).

Chemical structure

Derivative

Tetrasodium salt.

Nomenclature

CAS number: 318250-11-2
INS-37217.
C18H23N5Na4O21P4; mol wt 861.25.
C 25.10%, H 2.69%, N 8.13%, Na 10.68%, O 39.01%, P 14.39%.

Therapeutic Category

In treatment of cystic fibrosis.

Keywords

Purinoceptor P2Y Agonist