2911. Depreotide

Nomenclature

CAS number: 161982-62-3
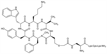
Cyclo(l-homocysteinyl-N-methyl-l-phenylalanyl-l-tyrosyl-d-tryptophyl-l-lysyl-l-valyl), (1→1′)-thioether with 3-[(mercaptoacetyl)amino]-l-alanyl-l-lysyl-l-cysteinyl-l-lysinamide; cyclo-(N-Me)Phe-Tyr-(d-Trp)-Lys-Val-Hcy(CH2CO-(β-Dap)-Lys-Cys-Lys-NH2); cyclo.(N-CH3)FYWDKV.Hcy(CH2CO.(β-Dap)KCK.amide); P829.
C65H96N16O12S2; mol wt 1357.69.
C 57.50%, H 7.13%, N 16.51%, O 14.14%, S 4.72%.

Description and references

Synthetic cyclic peptide of 10 amino acids; somatostatin analog designed to bind to somatostatin receptor-bearing tumors. 99mTc-Labeled complex functions as scintigraphic imaging agent. Prepn: R. T. Dean et al., WO 9500553 (1995 to Diatech); eidem, US 6051206 (2000 to Diatide); D. A. Pearson et al., J. Med. Chem. 39, 1361 (1996). Binding studies: I. Virgolini et al., Cancer Res. 58, 1850 (1998). Clinical study in diagnosis of pulmonary nodules: J. Blum et al., Chest 117, 1232 (2000).

Chemical structure

Derivative

99mTc-Labeled form.

Nomenclature

99mTc-P829; NeoTect (Diatide).

Therapeutic Category

Diagnostic aid (radioactive imaging agent).

Keywords

Depreotide Complex with 99mTc: Diagnostic Aid (Radioactive Imaging Agent)