2921. Deslanoside

Nomenclature

CAS number: 17598-65-1
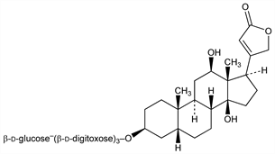
(3β,5β,12β)-3-[(O-β-d-Glucopyranosyl-(1→4)-O-2,6-dideoxy-β-d-ribo-hexopyranosyl-(1→4)-O-2,6-dideoxy-β-d-ribo-hexopyranosyl-(1→4)-2,6-dideoxy-β-d-ribo-hexopyranosyl)oxy]-12,14-dihydroxycard-20(22)-enolide; deacetyllanatoside C; desacetyldigilanide C; Cedilanide (Novartis); Desace (Dexo); Desaci (Simes).
C47H74O19; mol wt 943.08.
C 59.86%, H 7.91%, O 32.23%.

Description and references

Cardiac glycoside. Isoln from leaves of Digitalis lanata Ehrh., Scrophulariaceae: Stoll, Kreis, Helv. Chim. Acta 16, 1049, 1390 (1933). Prepn by alkaline degradation of lanatoside C: Kroszczynski et al., Acta Pol. Pharm. 21, 357 (1964), C.A. 62, 10292b (1965). Hemodynamic effects in heart failure: E. Ambrosioni et al., Int. J. Clin. Pharmacol. Biopharm. 17, 416 (1979). Clinical pharmacokinetics: A. Marzo et al., Farmaco Ed. Prat. 37, 28 (1982). Determn in blood and urine by HPLC/MS/MS: F. Guan et al., Anal. Chem. 71, 4034 (1999).

Chemical structure

Properties

Crystals from methanol, dec 265-268°. [α]D20 +12° (c = 1.084 in 75% alc). One part dissolves in 5000 parts water, 200 parts methanol and 2500 parts ethanol; very slightly sol in chloroform. Practically insol in ether.

Therapeutic Category

Cardiotonic.

Keywords

Cardiotonic