2933. Dess-Martin Periodinane

Nomenclature

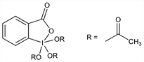
CAS number: 87413-09-0
1,1,1-Tris(acetyloxy)-1,1-dihydro-1,2-benziodoxol-3(1H)-one; triacetoxyperiodinane.
C13H13IO8; mol wt 424.14.
C 36.81%, H 3.09%, I 29.92%, O 30.18%.

Description and references

Pentacoordinate organoiodine (periodinane); selectively oxidizes primary and secondary alcohols, aldehydes and ketones. Prepn: D. B. Dess, J. C. Martin, J. Org. Chem. 48, 4155 (1983); R. E. Ireland, L. Liu, ibid. 58, 2899 (1993). Structure and reaction conditions: D. B. Dess, J. C. Martin, J. Am. Chem. Soc. 113, 7277 (1991); acceleration by water: S. D. Meyer, S. L. Schreiber, J. Org. Chem. 59, 7549 (1994). Synthetic applications: N. E. Jenkins et al., Synth. Commun. 30, 947 (2000); A. G. Myers et al., Tetrahedron Lett. 41, 1359 (2000).

Chemical structure

Properties

White crystalline solid, mp 134°. Sparingly sol in hexane or ether. Sol in chloroform, methylene chloride, acetonitrile and acetone.

Use

Oxidizing reagent.