2961. Diacetin

Nomenclature

CAS number: 25395-31-7
1,2,3-Propanetriol diacetate; glycerol diacetate; glyceryl diacetate.
C7H12O5; mol wt 176.17.
C 47.72%, H 6.87%, O 45.41%.

Description and references

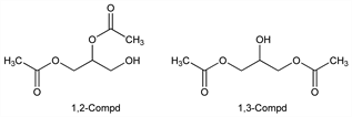
Commercial material is probably a mixture of glycerol 1,2- and 1,3-diacetates. Prepn of the 1,2- and 1,3-compounds: Wegscheider, Zmerzlikar, Monatsh. Chem. 34, 1061 (1913); of the 1,2-compd: Golendeev, J. Gen. Chem. USSR 6, 1841 (1936); of the 1,3-compd: Lagenbeck, Bollow, Naturwissenschaften 42, 389 (1955).

Chemical structure

Properties

Hygroscopic liquid, bp 259°. d416 1.184. nD20 1.44. Sol in water, alc, ether, benzene; practically insol in CS2.

Derivative

dl-1,2-Compd.

Nomenclature

1,2-Diacetin.

Properties

bp12 140-142°, bp40 172-173.5°. d415 1.1173.

Derivative

1,3-Compd.

Nomenclature

1,3-Diacetin.

Properties

bp40 172-174°. d15 1.179. nD20 1.4395.

Use

Technical grade as a plasticizer and softening agent, and as a solvent.