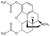
2967. Diacetyldihydromorphine

Nomenclature

CAS number: 509-71-7
(5α,6α)-4,5-Epoxy-17-methylmorphinan-3,6-diol diacetate (ester); dihydroheroin; paralaudin.
C21H25NO5; mol wt 371.43.
C 67.91%, H 6.78%, N 3.77%, O 21.54%.

Description and references

Prepn from dihydromorphine: Eddy, Howes, J. Pharmacol. 53, 430 (1935); Small, Mallonee, J. Org. Chem. 12, 558-566 (1947); K. W. Bentley, The Chemistry of the Morphine Alkaloids (Oxford, 1954).

Chemical structure

Properties

Needles, mp 165-167°. Slightly sol in water; sol in chloroform, alcohol, ether.

Derivative

Hydrochloride.
C21H25NO5.HCl; mol wt 407.89.
C 61.84%, H 6.42%, N 3.43%, O 19.61%, Cl 8.69%.

Properties

Flakes, scales. mp 215-218°. [α]D29 -59° (c = 1.2). Very sol in water.