3005. Dibekacin

Nomenclature

CAS number: 34493-98-6
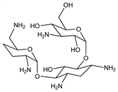
O-3-Amino-3-deoxy-α-d-glucopyranosyl-(1→6)-O-[2,6-diamino-2,3,4,6-tetradeoxy-α-d-erythro-hexopyranosyl-(1→4)]-2-deoxy-d-streptamine; DKB; 3′,4′-dideoxykanamycin B; debecacin.
C18H37N5O8; mol wt 451.52.
C 47.88%, H 8.26%, N 15.51%, O 28.35%.

Description and references

Semisynthetic analog of kanamycin, q.v., effective against kanamycin-resistant bacteria. Prepn: Umezawa et al., J. Antibiot. 24, 485 (1971); eidem, Bull. Chem. Soc. Jpn. 45, 3624 (1972); Umezawa et al., DE 2135191 (1972 to Microbiochem. Res. Found.). Improved synthesis: T. Yoneta et al., Bull. Chem. Soc. Jpn. 52, 1131 (1979). Antibacterial activity: A. G. Paradelis et al., Antimicrob. Agents Chemother. 14, 514 (1978). Metabolic studies: Shimizu, Jpn. J. Antibiot. 26, 522 (1973). Toxicology: Koeda et al., ibid. 221. Pharmacokinetics and acute toxicity: I. Komiya et al., J. Pharmacobio-Dyn. 4, 356 (1981). HPLC determn in serum: H. Kubo et al., Antimicrob. Agents Chemother. 28, 521 (1985). Review: P. Noone, Drugs 27, 548-578 (1984).

Chemical structure

Properties

[α]D20 +132° (c = 0.65). LD50 in mice (mg/kg): 61.0-68.0 i.v., 373.0-380.0 i.m. (Komiya).

Derivative

Sulfate.

Nomenclature

CAS number: 58580-55-5
Débékacyl (Bellon); Icacine (BMS); Orbicin (Pfizer/Mack, Illert.); Panamicin (Gramon); Panimycin (Meiji); Tokocin (Meiji).

Properties

White or yellowish-white powder. Slightly bitter taste. Sol in water. Practically insol in ethanol, acetone, and other organic solvents.

Therapeutic Category

Antibacterial.

Keywords

Antibacterial (Antibiotics); Aminoglycosides