3161. Digitonin

Nomenclature

CAS number: 11024-24-1
Digitin.
C56H92O29; mol wt 1229.31.
C 54.71%, H 7.54%, O 37.74%.

Description and references

Obtained from the seeds of Digitalis purpurea L., Scrophulariaceae. Extraction procedure: Gisvold, J. Am. Pharm. Assoc. 23, 664 (1934). Purification of commercial digitonin and its separation into two fractions: G. Ruhenstroth-Bauer, P. M. Breitenfeld, Z. Physiol. Chem. 302, 111 (1955). Structure: Tschesche, Wulff, Tetrahedron 19, 621 (1963). Use as clinical reagent: H. H. Leffler, Am. J. Clin. Pathol. 31, 310 (1959).

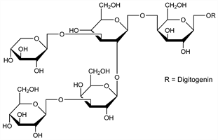
Chemical structure

Properties

Crystals from alc, sinters 225°. Indistinct mp 235-240°. [α]D20 -54° (0.45 g in 15.8 ml methanol). One gram dissolves in 57 ml abs alc, in 220 ml 95% alc. Practically insol in water, forming a soapy suspension. Also practically insol in chloroform, ether.

Use

Clinical reagent (cholesterol determination).