3179. Dihydrostreptomycin

Nomenclature

CAS number: 128-46-1
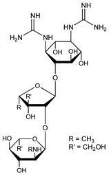
O-2-Deoxy-2-(methylamino)-α-l-glucopyranosyl-(1→2)-O-5-deoxy-3-C-(hydroxymethyl)-α-l-lyxofuranosyl-(1→4)-N,N′-bis(aminoiminomethyl)-d-streptamine; DHSM; DST; Abiocine (Lepetit); Vibriomycin.
C21H41N7O12; mol wt 583.59.
C 43.22%, H 7.08%, N 16.80%, O 32.90%.

Description and references

Semi-synthetic antibiotic prepd by reduction of streptomycin: Bartz et al., J. Am. Chem. Soc. 68, 2163 (1946); Fried, Wintersteiner, ibid. 69, 79 (1947); Peck, US 2498574 (1950 to Merck & Co.); Carboni, Regna, US 2522858 (1950 to Pfizer); Levy, US 2663685 (1953 to Schenley); Dolliver, Semenoff, US 2717236 (1955 to Olin Mathieson); Kaplan, US 2790792 (1957 to Bristol); Sokol, Popino, US 2784181 (1957 to Cyanamid); Jurist, US 2945850 (1960 to Olin Mathieson). Isoln from fermentation broth of Streptomyces humidus: Nakazawa et al., and Tatsuoka et al., US 2931756 and US 2950277 (both 1960 to Takeda). Crystn of free base (obtained from the sulfate): Rhodehamel et al., Science 111, 233 (1950). Crystn of the hydrochloride: Wolf et al., ibid. 109, 515 (1949); Wolf, US 2590139; US 2594245 (both 1952 to Merck & Co.). Crystn of the sulfate: Solomons, Regna, Science 109, 515 (1949); Wolf et al., ibid. 515; Wolf, US 2590140; US 2590141 (both 1952 to Merck & Co.); R. B. Peet, US 2640054 (1953 to Heyden Chem.); Katz, US 2744892 (1956 to Schenley). Total synthesis: Umezawa et al., J. Am. Chem. Soc. 96, 920 (1974); eidem, Bull. Chem. Soc. Jpn. 48, 563 (1975); T. Yamasaki et al., J. Antibiot. 31, 1233 (1978).

Chemical structure

Derivative

Hydrate.

Properties

Crystals from aq acetone. Chars at 240°, turning black up to 300° without melting.

Derivative

Trihydrochloride.

Nomenclature

CAS number: 6533-54-6
C21H41N7O12.3HCl; mol wt 692.97.
C 36.40%, H 6.40%, N 14.15%, O 27.71%, Cl 15.35%.

Properties

Amorphous solid, dec 190-195°, or crystals from methanol. Soly in methanol at 25°: 45 mg/ml for crystalline form; >1 g/ml for amorphous form. Crystals contain methanol of crystn which is lost on heating at 100°C. [α]D25 -95° (1% soln).

Derivative

Sesquisulfate.

Nomenclature

CAS number: 5490-27-7
Didromycine (Specia); Double-mycin (Heyl); Sol-Mycin (Roxane); Streptomagma (Wyeth).
(C21H41N7O12)2.3H2SO4; mol wt 1461.42.
C 34.52%, H 6.07%, N 13.42%, O 39.41%, S 6.58%.

Properties

Amorphous solid; crystalline form from water + (methanol, methyl ethyl ketone, or other low boiling solvent). Crystals, dec 255-265°, also reported as dec 250°. [α]D25 -88.5° (1% soln). Crystals show very little hygroscopicity in contrast to amorphous form. Both forms are very sol in water. Solubility in 50% methanol + water: 0.8 mg/ml for crystals; 100 mg/ml for amorphous form. Soly at 28° (mg/ml): >20 in water; 0.35 in methanol; 0.10 in ethanol: Weiss et al., Antibiot. Chemother. 7, 374 (1957). Each milligram contains 800 micrograms of dihydrostreptomycin base on a potency basis.

Derivative

Pantothenate.

Nomenclature

CAS number: 3563-84-6
Didrothenat (Grünenthal); Pantostrep.
C21H41N7O12.C9H17NO5; mol wt 802.82.
C 44.88%, H 7.28%, N 13.96%, O 33.88%.

Therapeutic Category

Antibacterial (tuberculostatic).

Therapeutic Category (Veterinary)

Antibacterial.

Keywords

Antibacterial (Antibiotics); Aminoglycosides; Antibacterial (Tuberculostatic)