3292. Dioscin

Nomenclature

CAS number: 19057-60-4
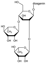
(25R)-Spirost-5-en-3β-yl O-6-deoxy-α-l-mannopyranosyl-(1→2)-O-[6-deoxy-α-l-mannopyranosyl-(1→4)]-β-d-glucopyranoside; diosgenin bis-α-l-rhamnopyranosyl-(1→2 and 1→4)-β-d-glucopyranoside.
C45H72O16; mol wt 869.04.
C 62.19%, H 8.35%, O 29.46%.

Description and references

From Dioscorea tokoro Mal., Dioscoreaceae. Isoln: Tsukamoto et al., Pharm. Bull. 4, 35 (1956); Heitz, Compt. Rend. 248, 283 (1958). Structure: Kawasaki, Yamauchi, Chem. Pharm. Bull. 10, 703 (1962).

Chemical structure

Properties

Crystals, decomp 275-277°. [α]D13 -115° (c = 0.373 in ethanol).