3295. Diosgenin

Nomenclature

CAS number: 512-04-9
(3β,25R)-Spirost-5-en-3-ol; nitogenin.
C27H42O3; mol wt 414.62.
C 78.21%, H 10.21%, O 11.58%.

Description and references

Aglycone of saponin dioscin. From Dioscorea tokoro Makino, Dioscoreaceae: Tsukamoto, J. Pharm. Soc. Jpn. 56, 135 (1936); from rhizomes of Trillium erectum L., Liliaceae and D. villosa L., Dioscoreaceae: Marker et al., J. Am. Chem. Soc. 62, 2542 (1940). Plant sources for diosgenin: Marker et al., ibid. 65, 1199 (1943); Wall et al., J. Am. Pharm. Assoc. Sci. Ed. 46, 653 (1957). Identity with nitogenin: Marker et al., J. Am. Chem. Soc. 65, 1248 (1943). Structure: Marker et al., ibid. 62, 2525 (1940). Configuration at C25: James, J. Chem. Soc. 1955, 637. Synthesis: Mazur et al., J. Am. Chem. Soc. 82, 5889 (1960); Kessar et al., Tetrahedron Lett. 1966, 4319. Obtained commercially from Dioscorea composita Hemsl. and D. terpinapensis Uline (see under Barbasco). Isoln from barbasco varieties: Julian, US 3019220 (1962 to Julian Labs.).

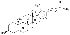
Chemical structure

Properties

Crystals from acetone, mp 204-207°. [α]D25 -129° (c = 1.4 in CHCl3). Sol in the usual organic solvents, in acetic acid.

Derivative

Acetate.
C29H44O4; mol wt 456.66.
C 76.27%, H 9.71%, O 14.01%.

Properties

Crystals from acetic acid, mp 198°. [α]D20 -119° (pyridine).

Use

Can be converted to pregnenolone and progesterone: Marker et al., J. Am. Chem. Soc. 69, 2167 (1947).