3297. Diosmin

Nomenclature

CAS number: 520-27-4
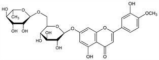
7-[[6-O-(6-Deoxy-α-l-mannopyranosyl)-β-d-glucopyranosyl]oxy]-5-hydroxy-2-(3-hydroxy-4-methoxyphenyl)-4H-1-benzopyran-4-one; 3′,5,7-trihydroxy-4′-methoxyflavone-7-rutinoside; 5-hydroxy-2-(3-hydroxy-4-methoxyphenyl)-7-(O6-α-l-rhamnopyranosyl-β-d-glucopyranosyloxy)chromen-4-one; 5-hydroxy-2-(3-hydroxy-4-methoxyphenyl)-7-β-rutinosyloxy-4H-chromen-4-one; diosmetin 7-β-rutinoside; barosmin; buchu resin; Diosmil (Bellon); Diosven (CT); Diovenor (Innothéra); Flebosmil (Bouchara); Flebosten (Bonomelli); Hemerven (Interdelta); Insuven (Berenguer); Litosmil (Evans); Tovene (Kali-Chemie); Varinon (Exa); Ven-Detrex (Zyma); Venosmine (Geymonat).
C28H32O15; mol wt 608.54.
C 55.26%, H 5.30%, O 39.44%.

Description and references

Naturally occurring flavonic glycoside; rhamnoglycoside of diosmetin, q.v. Isolation from various plant sources: O. A. Oesterle, G. Wander, Helv. Chim. Acta 8, 519 (1925). Elucidation of structure: G. Zemplén, R. Bognár, Ber. 76, 452 (1943). Prepn from hesperidin, q.v.: eidem, ibid.; N. B. Lorette et al., J. Org. Chem. 16, 930 (1951). Isoln from lemon peel (Citrus limon Linn. Rutaceae): R. M. Horowitz, J. Org. Chem. 21, 1184 (1956); from Zanthoxylum avicennae, Rutaceae: H. R. Arthur et al., J. Chem. Soc. 1956, 632; H. R. Arthur et al., ibid. 1959, 4007; from flowers of Sophora microphylla Ait. Leguminosae: L. H. Briggs et al., ibid. 1960, 1955. Toxicology studies: H. Heusser, W. Osswald, Arch. Farmacol. Toxicol. 3, 33 (1977). NMR spectrum: J. L. Nieto, A. M. Gutierrez, Spectrosc. Lett. 19, 427 (1986). Mechanism of action: C. Boudet, L. Peyrin, Arch. Int. Pharmacodyn. 283, 312 (1986). Pharmacology: J. R. Caseley-Smith, J. R. Caseley-Smith, Agents Actions 17, 1 (1985); M. Damon et al., Arzneim.-Forsch. 37, 1149 (1987). HPLC determn in biological fluids: D. Baylocq et al., Ann. Pharm. Fr. 41, 115 (1983). Clinical study in post-phlebitic ulcers: M. C. Nguyen, K. Morere, Gaz. Med. 92, 71 (1985); in acute hemorrhoids: A. Tajana et al., Minerva Med. 79, 387 (1988). Clinical trial in chronic venous insufficiency: R. Laurent et al., Int. Angiol. 7, Suppl. 2, 39 (1988).

Chemical structure

Derivative

Monohydrate.
C28H32O15.H2O; mol wt 626.56.
C 53.67%, H 5.47%, O 40.86%.

Properties

mp 275-277° (dec) (Zemplén). Also reported as fine needles from aq pyridine or aq DMF, mp 283° (dec) (Briggs). uv max (ethanol): 255, 268, 345 nm (log ε 4.28, 4.25, 4.30). Practically insol in water, alcohol.

Derivative

Flavonoid extract.

Nomenclature

Daflon (Servier); Flebopex (Profarma); Flebotropin (Bago).

Therapeutic Category

Capillary protectant.

Keywords

Vasoprotectant