3351. Diquafosol

Nomenclature

CAS number: 59985-21-6
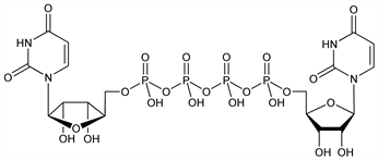
Uridine 5′-(pentahydrogen tetraphosphate) P'''→5′-ester with uridine; P1,P4-diuridine 5′-tetraphosphate; UP4U.
C18H26N4O23P4; mol wt 790.31.
C 27.36%, H 3.32%, N 7.09%, O 46.56%, P 15.68%.

Description and references

Uridine nucleotide analog. P2Y2 purinoceptor agonist; stimulates mucin secretion from goblet cells. Prepn: M. J. Stutts, III et al., WO 9640059 (1996 to Univ. North Carolina at Chapel Hill); and receptor activity: W. Pendergast et al., Bioorg. Med. Chem. Lett. 11, 157 (2001). Ocular pharmacology: T. Fujihara et al., J. Ocul. Pharmacol. Ther. 18, 363 (2002). Review of development and therapeutic potential: J. Fischbarg, Curr. Opin. Investig. Drugs 4, 1377-1383 (2003); K. K. Nichols et al., Expert Opin. Invest. Drugs 13, 47-54 (2004). Clinical trial in dry eye disease: J. Tauber et al., Cornea 23, 784 (2004).

Chemical structure

Derivative

Tetrasodium salt.

Nomenclature

CAS number: 211427-08-6
INS-365; Prolacria (Allergan).
C18H22N4Na4O23P4; mol wt 878.23.
C 24.62%, H 2.52%, N 6.38%, Na 10.47%, O 41.90%, P 14.11%.

Therapeutic Category

In treatment of dry eye disease.

Keywords

Purinoceptor P2Y Agonist