3431. Doxacurium Chloride

Nomenclature

CAS number: 106819-53-8
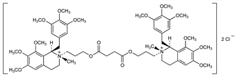
(1R,1′S,2S,2′R)-rel-2,2′-[(1,4-Dioxo-1,4-butanediyl)bis(oxy-3,1-propanediyl)]bis[1,2,3,4-tetrahydro-6,7,8-trimethoxy-2-methyl-1-[(3,4,5-trimethoxyphenyl)methyl]isoquinolinium] dichloride; (1R,2S;1S,2R)-1,2,3,4-tetrahydro-2-(3-hydroxypropyl)-6,7,8-trimethoxy-2-methyl-1-(3,4,5-trimethoxybenzyl)isoquinolinium chloride succinate (2:1); trans,trans-2,2′-[dimethylenebis(carbonyloxytrimethylene)]bis[1,2,3,4-tetrahydro-6,7,8-trimethoxy-2-methyl-1-(3,4,5-trimethoxybenzyl)isoquinolinium] dichloride; BW-A938U; Nuromax (Glaxo Wellcome).
C56H78Cl2N2O16; mol wt 1106.13.
C 60.81%, H 7.11%, Cl 6.41%, N 2.53%, O 23.14%.

Description and references

Benzylisoquinolinium, competitive neuromuscular blocker. Prepn: H. A. El-Sayad et al., EP 54309 (1982 to Wellcome Found.); eidem, US 4701460 (1987 to Burroughs Wellcome). Clinical pharmacology: S. J. Basta et al., Anesthesiology 69, 478 (1988). Clinical evaluation during anesthesia: R. P. F. Scott, J. Norman, Br. J. Anaesth. 62, 373 (1989).

Chemical structure

Properties

Amorphous solid. Sol in water.

Therapeutic Category

Neuromuscular blocking agent.

Keywords

Neuromuscular Blocking Agent; Nondepolarizing Agents