3448. Dromostanolone

Nomenclature

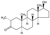
CAS number: 58-19-5
(2α,5α,17β)-17-Hydroxy-2-methyl-androstan-3-one; 17β-hydroxy-2α-methyl-5α-androstan-3-one; 2α-methylandrostan-17β-ol-3-one; 2α-methyldihydrotestosterone; drostanolone.
C20H32O2; mol wt 304.47.
C 78.90%, H 10.59%, O 10.51%.

Description and references

Synthetic estrogen antagonist. Prepn: H. J. Ringold et al., J. Am. Chem. Soc. 81, 427 (1959); H. J. Ringold, G. Rosenkranz, US 3118915 (1964 to Syntex). GC-MS determn of urinary metabolites: D. DeBoer et al., J. Steroid Biochem. Mol. Biol. 42, 411 (1992).

Chemical structure

Properties

Crystals from acetone/hexane, mp 149-153°. [α]D +32° (ethanol).

Derivative

Propionate.

Nomenclature

CAS number: 521-12-0
NSC-12198; Drolban (Lilly); Emdisterone; Masterid (Grünenthal); Masteril (Syntex); Masterone (Syntex); Permastril (Cassenne).
C23H36O3; mol wt 360.53.
C 76.62%, H 10.06%, O 13.31%.

Properties

Crystals from hexane, mp 126-130°. [α]D +24°.

Note

This is a controlled substance (anabolic steroid): 21 CFR, 1308.13, as defined in 1300.01.

Therapeutic Category

Antineoplastic.

Keywords

Antineoplastic (Hormonal); Androgens