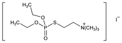
3501. Echothiophate Iodide

Nomenclature

CAS number: 513-10-0
2-[(Diethoxyphosphinyl)thio]-N,N,N-trimethylethanaminium iodide; (2-mercaptoethyl)trimethylammonium iodide O,O-diethyl phosphorothioate; diethoxyphosphinylthiocholine iodide; 2-diethoxyphosphinylthioethyltrimethylammonium iodide; O,O-diethyl S-(2-trimethylammoniumethyl)phosphorothioate iodide; S-β-dimethylaminoethyl-O,O-diethylthionophosphate methiodide; ecothiopate iodide; 217-MI; Phospholine Iodide (Wyeth).
C9H23INO3PS; mol wt 383.23.
C 28.21%, H 6.05%, I 33.11%, N 3.65%, O 12.52%, P 8.08%, S 8.37%.

Description and references

Prepn: Tammelin, Acta Chem. Scand. 11, 1340 (1957); Fitch, US 2911430 (1959 to Campbell Pharmaceuticals). Comprehensive description: R. D. Daley, Anal. Profiles Drug Subs. 3, 233-251 (1974).

Chemical structure

Properties

Crystals, mp 138° (Tammelin); mp 124-124.5° (Fitch). Sol in water, alcohol, chloroform.

Therapeutic Category

Cholinergic (ophthalmic).

Keywords

Cholinergic