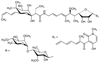
3525. Efrotomycin

Nomenclature

CAS number: 56592-32-6
S,2R,3R,4R,6S)-4-[[6-Deoxy-4-O-(6-deoxy-2,4-di-O-methyl-α-l-mannopyranosyl)-3-O-methyl-β-d-allopyranosyl]oxy]-N-[(2E,4E,6S,7R)-7-[(2S,3S,4R,5R)-5-[(1E,3E,5E)-7-(1,2-dihydro-4-hydroxy-1-methyl-2-oxo-3-pyridinyl)-6-methyl-7-oxo-1,3,5-heptatrien-1-yl]tetrahydro-3,4-dihydroxy-2-furanyl]-6-methoxy-5-methyl-2,4-octadien-1-yl]-α-ethyltetrahydro-2,3-dihydroxy-5,5-dimethyl-6-(1E,3Z)-1,3-pentadien-1-yl-2H-pyran-2-acetamide; 31-O-[6-deoxy-4-O-(6-deoxy-2,4-di-O-methyl-α-l-mannopyranosyl)-3-O-methyl-β-d-allopyranosyl]-1-methylmocimycin; FR-02A; MK-621.
C59H88N2O20; mol wt 1145.33.
C 61.87%, H 7.74%, N 2.45%, O 27.94%.

Description and references

Antibiotic produced by Streptomyces lactamdurans NRRL 3802: R. G. Wax, W. M. Maiese, DE 2450813 (1975 to Merck & Co.), C.A. 83, 145755y (1975); R. G. Wax et al., J. Antibiot. 29, 670 (1976). In vitro and in vivo activity: B. M. Frost et al., ibid. 1083; 32, 626 (1979). Production and growth promoting activity: W. M. Maiese, R. G. Wax, US 4024251 (1977 to Merck & Co.). Synergism with bottromycin, q.v.: B. M. Frost et al., J. Antibiot. 32, 1046 (1979). Structure: R. S. Dewey et al., ibid. 38, 1691 (1985). Stereospecific total synthesis: R. E. Dolle, K. C. Nicolaou, J. Am. Chem. Soc. 107, 1691, 1695 (1985). HPLC determn in feeds: J. D. Strong, Analyst 111, 853 (1986). Effect on gain and feed efficiency in swine: A. G. Foster et al., J. Anim. Sci. 65, 877 (1987).

Chemical structure

Properties

Pale yellow solid. uv max (pH 7): 232, 327 nm (E1%1cm 464, 216). LD50 in mice (g/kg): >4 orally; >2 s.c. (Frost).

Therapeutic Category (Veterinary)

Growth stimulant.