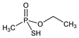
3564. EMPTA

Nomenclature

CAS number: 18005-40-8
Methylphosphonothioic acid O-ethyl ester.
C3H9O2PS; mol wt 140.14.
C 25.71%, H 6.47%, O 22.83%, P 22.10%, S 22.88%.

Description and references

Degradation product and precursor of VX, inhibits cholinesterase. Prepn: M. I. Kabachnik et al., Dokl. Akad. Nauk SSSR 104, 861 (1955), C.A. 50, 11240a (1956); F. W. Hoffmann et al., J. Am. Chem. Soc. 81, 148 (1959). Structure: H. Christol et al., C. R. Seances Acad. Sci. Ser. C 265, 1511 (1967). NMR: M. Mikolajczyk et al., J. Am. Chem. Soc. 100, 7003 (1978). Mass spec.: E. R. J. Wils, Fresenius J. Anal. Chem. 338, 22 (1990). Ionspray-MS determn in water: R. Kostiainen et al., J. Chromatogr. 634, 113 (1993).

Chemical structure

Properties

Yellowish oil, bp0.22mm 63°. nD25 1.4912. d425 1.1735.

Use

Precursor to chemical warfare agents.