3591. Enprostil

Nomenclature

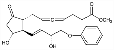
CAS number: 73121-56-9
rel-7-[(1R,2R,3R)-3-Hydroxy-2-[(1E,3R)-3-hydroxy-4-phenoxy-1-butenyl]-5-oxocyclopentyl]-4,5-heptadienoic acid methyl ester; (dl)-9-keto-11α,15α-dihydroxy-16-phenoxy-17,18,19,20-tetranorprosta-4,5,13-trans-trienoic acid methyl ester; RS-84135; Camleed (Tanabe Seiyaku); Gardrin(e) (Syntex).
C23H28O6; mol wt 400.46.
C 68.98%, H 7.05%, O 23.97%.

Description and references

Prostaglandin E2 derivative with antisecretory activity. Prepn: A. R. Van Horn et al., US 4178457 (1979 to Syntex). Pharmacokinetics: D. R. Stanski et al., Clin. Pharmacol. Ther. 31, 273 (1982). Cytoprotective effect against aspirin-induced gastromucosal injury in humans: M. M. Cohen et al., Gastroenterology 88, 382 (1985). Clinical comparison with cimetidine of antisecretory and antigastrin activity in duodenal ulcer: V. Mahachai et al., ibid. 89, 555 (1985); of efficacy in ulcer healing: L. Carling et al., Scand. J. Gastroenterol. 22, 325 (1987). Series of articles on pharmacology, clinical efficacy and safety: Am. J. Med. 81, Suppl. 2A, 1-88 (1986).

Chemical structure

Properties

White to off-white waxy solid. Softens at 30°, liquid at 46°. Very slightly sol in water. Sol in alcohol, propylene glycol, propylene carbonate. uv max (methanol): 220, 265, 271, 277 nm (log ε 4.01, 3.14, 3.24, 3.16).

Therapeutic Category

Antiulcerative.

Keywords

Antiulcerative; Prostaglandin/Prostaglandin Analog