3600. Enviomycin

Nomenclature

CAS number: 33103-22-9
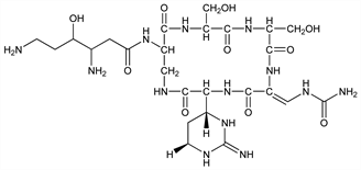
Tuberactinomycin N; (R)-1-[(3R,4R)-4-hydroxy-3,6-diaminohexanoic acid]-6-[l-2-(2-amino-1,4,5,6-tetrahydro-4-pyrimidinyl)glycine]viomycin.
C25H43N13O10; mol wt 685.69.
C 43.79%, H 6.32%, N 26.56%, O 23.33%.

Description and references

Polypeptide antibiotic produced by a mutant of Streptomyces griseoverticillatus var. tuberacticus. Isoln and characterization: T. Ando et al., J. Antibiot. 24, 680 (1971); A. Nagata et al., in Advan. Antimicrob. Antineopl. Chemother. vol. 1/2, M. Hejzlar et al., Eds. (University Park Press, Baltimore, 1972) pp 1039-1041. Prepn: J. Abe et al., DE 2133181; eidem, US 3892732 (1972, 1975 both to Toyo Brewing Co., Ltd.). Structural studies: H. Yoshioka et al., Tetrahedron Lett. 1971, 2043; T. Wakamiya, T. Shiba, J. Antibiot. 28, 292 (1975). Pharmacology: H. Hamakawa et al., Oyo Yakuri 8, 817 (1974), C.A. 82, 51530y (1975). Metabolism: T. Shimizu et al., Jpn. J. Antibiot. 27, 279 (1974). Total synthesis: T. Shiba et al., J. Antibiot. 32, 1078 (1979).

Chemical structure

Derivative

Hydrochloride.
C25H43N13O10.3HCl; mol wt 795.07.
C 37.77%, H 5.83%, N 22.90%, O 20.12%, Cl 13.38%.

Properties

White crystalline powder, mp >245° (dec). [α]D21 -19.1°. uv max (water, 0.1N HCl): 268 nm (E1%1cm 342); uv max (0.1N NaOH): 288 nm (E1%1cm 215). Very sol in water, slightly sol in methanol, ethanol. Insol in common organic solvents.

Derivative

Sulfate.

Nomenclature

Tuberactin (Toyo Jozo).
C50H92N26O32S3; mol wt 1665.62.
C 36.05%, H 5.57%, N 21.86%, O 30.74%, S 5.78%.

Properties

White crystalline powder. Sol in water, slightly sol in usual organic solvents. LD50 in mice, rats (mg/kg): 485, 680 i.v. (Hamakawa).

Therapeutic Category

Antibacterial (tuberculostatic).

Keywords

Antibacterial (Antibiotics); Polypeptides; Antibacterial (Tuberculostatic)