3614. Epicillin

Nomenclature

CAS number: 26774-90-3
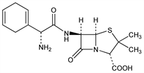
(2S,5R,6R)-6-[[(2R)-Amino-1,4-cyclohexadien-1-ylacetyl]amino]-3,3-dimethyl-7-oxo-4-thia-1-azabicyclo[3.2.0]heptane-2-carboxylic acid; 6-[d-α-amino-2-(1,4-cyclohexadien-1-yl)acetamido]penicillanic acid; d-α-amino-(1,4-cyclohexadien-1-yl)methylpenicillin; SQ-11302; Dexacilina (BMS); Dexacillin (BMS); Spectacillin (Sandoz).
C16H21N3O4S; mol wt 351.42.
C 54.68%, H 6.02%, N 11.96%, O 18.21%, S 9.12%.

Description and references

Semi-synthetic antibiotic related to penicillin. Prepn: Weisenborn et al., US 3485819 (1969 to Squibb); Dolfini et al., J. Med. Chem. 14, 117 (1971). Activity studies: Basch et al., Infect. Immun. 4, 44 (1971); Gadebusch et al., ibid. 50. Clinical trials: Woodruff et al., N. Y. State J. Med. 71, 1087 (1971); Beck et al., Curr. Ther. Res. 13, 530 (1971); Reyes, ibid. 602; Landa, ibid. 654.

Chemical structure

Properties

Crystals, dec 202° (hemihydrate).

Therapeutic Category

Antibacterial.

Keywords

Antibacterial (Antibiotics); β-Lactams; Penicillins