3615. Epicocconone

Nomenclature

CAS number: 371163-96-1
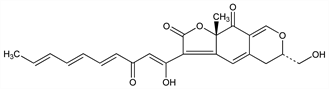
(6S,9aS)-5,6-Dihydro-6-(hydroxymethyl)-3-[(1Z,4E,6E,8E)-1-hydroxy-3-oxo-1,4,6,8-decatetraenyl]-9a-methyl-2H-furo[3,2-g][2]benzopyran-2,9(9aH)-dione; Deep Purple (Amersham Biosci.); Lightning Fast.
C23H22O7; mol wt 410.42.
C 67.31%, H 5.40%, O 27.29%.

Description and references

Fluorescent natural product isolated from the fungus Epicoccum nigrum. Reacts reversibly with primary amines to produce a highly fluorescent enamine. Prepn: P. J. L. Bell, P. Karuso, WO 0181351 (2001 to Maquarie Res. Ltd.); eidem, US 030157518 (2003). Isoln, characterization, and fluorescence applications: eidem, J. Am. Chem. Soc. 125, 9304 (2003). Protein gel staining characteristics: J. A. Mackintosh et al., Proteomics 3, 2273 (2003). Photostability study: G. B. Smejkal et al., Electrophoresis 25, 2511 (2004). Mechanism of protein staining: D. R. Coghlan et al., Org. Lett. 7, 2401 (2005).

Chemical structure

Properties

Orange solid. [α]D25 +110° (c = 0.009 in acetonitrile). Absorption max (methanol): 432, 555 nm (ε 10000, 4000). Absorption max (acetonitrile): 209, 290(sh), 317, 441 nm (ε 6000, 3000, 3000, 10000).

Use

Biodegradable fluorescent stain for detection of proteins in 1D and 2D gel electrophoresis.