3671. Eritoran

Nomenclature

CAS number: 185955-34-4
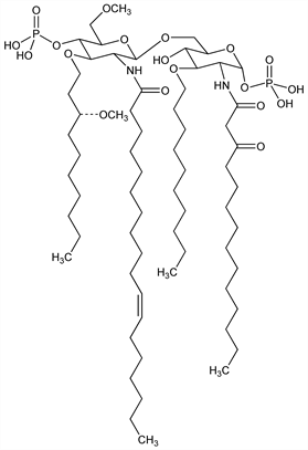
3-O-Decyl-2-deoxy-6-O-[2-deoxy-3-O-[(3R)-3-methoxydecyl]-6-O-methyl-2-[[(11Z)-1-oxo-11-octadecenyl]amino]-4-O-phosphono-β-d-glucopyranosyl]-2-[(1,3-dioxotetradecyl)amino]-α-d-glucopyranose 1-(dihydrogen phosphate).
C66H126N2O19P2; mol wt 1313.66.
C 60.34%, H 9.67%, N 2.13%, O 23.14%, P 4.72%.

Description and references

Toll-like receptor 4 (TLR4) antagonist. Synthetic analog of the lipid A component of endotoxin, a major constituent of the outer membrane of Gram negative bacteria. Prepn: W. J. Christ et al., WO 9639411; eidem, US 5750664 (1996, 1998 both to Eisai). Pharmacology: M. Mullarkey et al., J. Pharmacol. Exp. Ther. 304, 1093 (2003). Clinical pharmacokinetics: Y. N. Wong et al., J. Clin. Pharmacol. 43, 735 (2003); and lipid distribution profile: D. P. Rossignol et al., Antimicrob. Agents Chemother. 48, 3233 (2004). Clinical evaluation in experimental endotoxemia: M. Lynn et al., J. Pharmacol. Exp. Ther. 308, 175 (2004). Review of pharmacology and clinical experience: D. P. Rossignol, M. Lynn, Curr. Opin. Investig. Drugs 6, 496-502 (2005).

Chemical structure

Derivative

Tetrasodium salt.

Nomenclature

CAS number: 185954-98-7
E-5564; B-1287.
C66H122N2Na4O19P2; mol wt 1401.58.
C 56.56%, H 8.77%, N 2.00%, Na 6.56%, O 21.69%, P 4.42%.

Therapeutic Category

In treatment of severe sepsis.

Keywords

Antisepsis