3692. d-Erythrose 4-Phosphate

Nomenclature

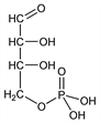
CAS number: 585-18-2
(2R,3R)-2,3-Dihydroxy-4-(phosphonooxy)butanal; 4-d-erythrosephosphoric acid.
C4H9O7P; mol wt 200.08.
C 24.01%, H 4.53%, O 55.98%, P 15.48%.

Description and references

Occurs in minute amounts in muscle flesh of all animals. Important natural intermediate in the Embden-Meyerhof scheme of alcoholic fermentation and glycolysis. Prepn by chemical synthesis: Ballou et al., J. Am. Chem. Soc. 77, 2658, 5967 (1955). Outline: Chem. Eng. News 34, 2506 (1956).

Chemical structure

Properties

Obtained in aq soln only. Shows no observable optical rotation. Is condensed with phosphoenolpyruvate by a cell-free extract from an E. coli mutant to give a 90% yield. Best stored and transported as the cyclohexylammonium salt of 4-phosphoryl-d-erythrose dimethyl acetal from which it can be prepared readily when needed.