3736. Ethion

Nomenclature

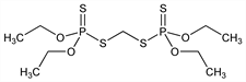
CAS number: 563-12-2
Phosphorodithioic acid SP,SP-methylene OP,OP,OP,OP′-tetraethyl ester; ethyl methylene phosphorodithioate; O,O,O′,O′-tetraethyl S,S′-methylenediphosphorodithioate; bis[S-(diethoxyphosphinothioyl)mercapto]methane; diethion; ENT-24105; FMC-1240; Niagara 1240; Commando (Boehringer, Ing.); Rhodocide (Cheminova); Tafethion (Rallis).
C9H22O4P2S4; mol wt 384.48.
C 28.11%, H 5.77%, O 16.65%, P 16.11%, S 33.36%.

Description and references

Organophosphate insecticide; cholinesterase inhibitor. Prepn: Willard, Henahan, US 2873228; US 3014058 (1959, 1961 both to FMC). Determn in air using ion mobility spectrometry: M. T. Jafari, Talanta 69, 1054 (2006) DOI PubMed. Toxicity study: T. B. Gaines, Toxicol. Appl. Pharmacol. 14, 515 (1969) DOI PubMed. Review of toxicology and human exposure: Toxicological Profile for Ethion (PB2000-108024, 2000) 218 pp. Field study vs horn fly in cattle: O. S. Anziani et al., Vet. Parasitol. 91, 147 (2000) DOI PubMed.

Chemical structure

Properties

Liquid, mp -13 to -12°. d420 1.220. nD20 1.5490. Vapor pressure: 1.5 × 10-6 mm Hg. Sol in xylene, methylated naphthalene, chloroform, acetone and kerosene + 1% methyl ethyl ketone or benzene; slightly sol in water. LD50 in female, male rats (mg/kg): 27, 65 orally; 62, 245 dermally (Gaines).

Caution

Potential symptoms of overexposure are eye, skin irritation; nausea, vomiting, abdominal cramps, diarrhea, salivation; headache, giddiness, vertigo, weakness; rhinorrhea, chest tightness; blurred vision, miosis; cardiac irregularities; muscle fasciculations; dyspnea. See NIOSH Pocket Guide to Chemical Hazards (DHHS/NIOSH 97-140, 1997) p 130.

Use

Insecticide; acaricide.

Therapeutic Category (Veterinary)

Ectoparasiticide.