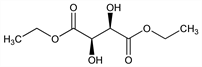
3855. Diethyl Tartrate

Nomenclature

CAS number: 87-91-2
(2R,3R)-2,3-Dihydroxybutanedioic acid diethyl ester; ethyl tartrate.
C8H14O6; mol wt 206.19.
C 46.60%, H 6.84%, O 46.56%.

Description and references

Prepn: J. W. Rodger, J. S. S. Brame, J. Chem. Soc. 73, 301 (1898); T. M. Lowry, J. O. Cutter, ibid. 121, 532 (1922).

Chemical structure

Properties

Colorless, thick, oily liquid. d420 1.204. bp 280°; bp11 150°. mp 17°. [α]D20 +7.5°. nD20 1.4476. Slightly sol in water; miscible with alcohol or ether.