3856. Monoethyl Tartrate

Nomenclature

CAS number: 608-89-9
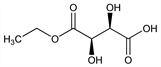
(2R,3R)-2,3-Dihydroxybutanedioic acid 1-ethyl ester; ethyl acid tartrate.
C6H10O6; mol wt 178.14.
C 40.45%, H 5.66%, O 53.89%.

Description and references

Prepn from tartaric acid: Guérin-Varry, Ann. 22, 248 (1837); P. Frankland, J. McCrae, J. Chem. Soc., Trans. 73, 307 (1898). Preparative method from diethyl tartrate: D. S. Kalonia, A. P. Simonelli, J. Chromatogr. 455, 355 (1988). Occurrence in wine: A. D. Webb et al., J. Agric. Food Chem. 15, 334 (1967).

Chemical structure

Properties

Colorless, very hygroscopic crystals. Sweet taste. mp 90°. Sol in water, alcohol; insol in ether. Keep well closed.

Use

Printing with Indol Blue and Crystal Fast Blue on fustian, etc.